STEAM NEEDS YOUR HELP!
Please see flyer.
LA CLASE DE STEAM NECESITA SU AYUDA
¡Por favor vea el volante!
Please see flyer.
LA CLASE DE STEAM NECESITA SU AYUDA
¡Por favor vea el volante!


Block Party is BACK!!
We need empty and cleaned out eggshells to make “cascarones” for our annual block party on Friday, May 15th.
Please see Flyer!
¡La fiesta de la cuadra ha vuelto!
Necesitamos cascarones de huevo vacíos y limpios para nuestra fiesta anual de cuadra el viernes 15 de mayo.
¡Por favor vea el volante adjunto!
We need empty and cleaned out eggshells to make “cascarones” for our annual block party on Friday, May 15th.
Please see Flyer!
¡La fiesta de la cuadra ha vuelto!
Necesitamos cascarones de huevo vacíos y limpios para nuestra fiesta anual de cuadra el viernes 15 de mayo.
¡Por favor vea el volante adjunto!

Picture Day is tomorrow, Friday, April 10, 2026. If you are taking your picture, you may have a free dress day. If you are not taking your spring picture, you must wear your Mariposa school uniform.
El Día de Fotos es mañana, viernes 10 de abril de 2026. Si vas a tomarte la foto, puedes tener un día de vestimenta libre. Si no vas a tomarte la foto de primavera, debes usar el uniforme escolar de Mariposa.

April News and Notes please see attached.
Noticias y avisos de abril: por favor, vea el archivo adjunto.
Noticias y avisos de abril: por favor, vea el archivo adjunto.

Reminders:
Monday, April 6th: Teacher PD (No School for students).
Tuesday, April 7th: ALL STUDENTS return to school.
Mandatory State Testing starts in April. ATTENDANCE IS IMPORTANT!
Recordatorios:
Lunes, 6 de abril: Desarrollo Profesional para maestros (No hay clases para los estudiantes).
Martes, 7 de abril: TODOS LOS ESTUDIANTES regresan a clases.
Las pruebas estatales obligatorias comienzan en abril. ¡LA ASISTENCIA ES IMPORTANTE!
Monday, April 6th: Teacher PD (No School for students).
Tuesday, April 7th: ALL STUDENTS return to school.
Mandatory State Testing starts in April. ATTENDANCE IS IMPORTANT!
Recordatorios:
Lunes, 6 de abril: Desarrollo Profesional para maestros (No hay clases para los estudiantes).
Martes, 7 de abril: TODOS LOS ESTUDIANTES regresan a clases.
Las pruebas estatales obligatorias comienzan en abril. ¡LA ASISTENCIA ES IMPORTANTE!

Reminders:
Monday, April 6th: Teacher PD (No School for students).
Tuesday, April 7th: ALL STUDENTS return to school.
Mandatory State Testing starts in April. ATTENDANCE IS IMPORTANT!
Recordatorios:
Lunes, 6 de abril: Desarrollo Profesional para maestros (No hay clases para los estudiantes).
Martes, 7 de abril: TODOS LOS ESTUDIANTES regresan a clases.
Las pruebas estatales obligatorias comienzan en abril. ¡LA ASISTENCIA ES IMPORTANTE!
Monday, April 6th: Teacher PD (No School for students).
Tuesday, April 7th: ALL STUDENTS return to school.
Mandatory State Testing starts in April. ATTENDANCE IS IMPORTANT!
Recordatorios:
Lunes, 6 de abril: Desarrollo Profesional para maestros (No hay clases para los estudiantes).
Martes, 7 de abril: TODOS LOS ESTUDIANTES regresan a clases.
Las pruebas estatales obligatorias comienzan en abril. ¡LA ASISTENCIA ES IMPORTANTE!

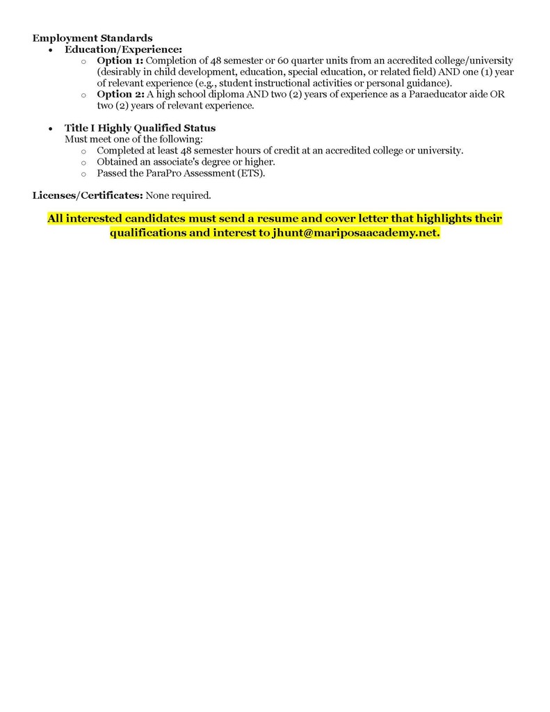
IMMEDIATE OPENING- Before and After School Teacher Assistant
See job details attached.
All interested candidates must send a resume and cover letter that highlights their qualifications and interest to jhunt@mariposaacademy.net.


Huge shoutout to our Mariposa families who joined us for our second Snack Time with Books night, hosted by Spread the Word NV Northern! Families shared a new book together, enjoyed delicious snacks, had a chance to win fun prizes, and went home with even more books to grow their home libraries. 📚✨@spreadthewordnvnorthern










Huge thank you to Bruka Theatre and the Pioneer Center Youth Program for an incredible performance today—your talent, energy, and passion truly brought everything to life and made it unforgettable! 🎭✨




We had a great visit from Animal Ark Wildlife Sanctuary today and even got to meet Banjo the bearded dragon—such a fun and engaging experience!






We had an awesome visit from Mike Carp, a local illustrator who shared his book with us and his journey to becoming an illustrator. We can't wait to have his book added to our school library.






On Tuesday we had a virtual author visit with Salina Yoon. We enjoy her books in our school library so it was a treat to meet her and learn about her journey as a dual language learner.




Thank you Spread the Word Nevada for your generous donation of books to help us continue to build our home libraries and continue our love of reading at home with our families.








Thank you Reno Fire and Miss Reno Rodeo for kicking off our Reading Week!





Happy reading week today spirit is Adventure Day!Wear clothes from your favorite places and adventures, places you dream of visiting or places you have read about. *Examples: shirts or hats from your favorite trip or place you have visited, or dream of visiting, or other adventure themed outfits.
¡Feliz Semana de la Lectura! El espíritu de hoy es Día de Aventura. Usa ropa de tus lugares y aventuras favoritas alrededor del mundo, de lugares que sueñas visitar o de lugares sobre los que has leído. Ejemplos: camisetas o gorras de tu viaje favorito, de algún lugar que hayas visitado o sueñas visitar, u otros atuendos con temática de aventura.
¡Feliz Semana de la Lectura! El espíritu de hoy es Día de Aventura. Usa ropa de tus lugares y aventuras favoritas alrededor del mundo, de lugares que sueñas visitar o de lugares sobre los que has leído. Ejemplos: camisetas o gorras de tu viaje favorito, de algún lugar que hayas visitado o sueñas visitar, u otros atuendos con temática de aventura.


Happy reading week tomorrows spirit is Adventure Day!
Wear clothes from your favorite places and adventures, places you dream of visiting or places you have read about.
*Examples: shirts or hats from your favorite trip or place you have visited, or dream of visiting,
or other adventure themed outfits.
¡Feliz Semana de la Lectura! El espíritu de mañana es
Día de Aventura.
Usa ropa de tus lugares y aventuras favoritas alrededor del mundo, de lugares que sueñas visitar o de lugares sobre los que has leído.
Ejemplos: camisetas o gorras de tu viaje favorito, de algún lugar que hayas visitado o sueñas visitar, u otros atuendos con temática de aventura.
Wear clothes from your favorite places and adventures, places you dream of visiting or places you have read about.
*Examples: shirts or hats from your favorite trip or place you have visited, or dream of visiting,
or other adventure themed outfits.
¡Feliz Semana de la Lectura! El espíritu de mañana es
Día de Aventura.
Usa ropa de tus lugares y aventuras favoritas alrededor del mundo, de lugares que sueñas visitar o de lugares sobre los que has leído.
Ejemplos: camisetas o gorras de tu viaje favorito, de algún lugar que hayas visitado o sueñas visitar, u otros atuendos con temática de aventura.


Reading Week Spirit Days are next week, March 16th–20th! 📚✨
We can’t wait to celebrate reading with fun spirit days all week long!
¡Los días de espíritu de la Semana de la Lectura son la próxima semana, del 16 al 20 de marzo! 📚✨
¡Estamos emocionados de celebrar la lectura con divertidos días temáticos durante toda la semana!


Our cheer team is SO excited to bring the energy and cheer on our soccer team at Friday’s home game! 📣⚽️

Snack Time with Books March 19th 2026 at 5:30pm
Hora de Merienda con Libros – 19 de marzo de 2026 a las 5:30 p.m.
Hora de Merienda con Libros – 19 de marzo de 2026 a las 5:30 p.m.


March News/Noticias de marzo
